La física conoce la constante «c», la velocidad de la luz en el vacío. Nadie que se haya acercado a esta ciencia dejará de estar fascinado por ese valor que parece encerrar toda la complejidad del Universo. Pese a que su formulación es sencilla (299.792,458 kilómetros por segundo), las implicaciones que tiene en casi todo; desde la contracción del tiempo hasta la gravedad o la expansión del Universo la hacen difícil de aprehender. En economía hay también una constante misteriosa: la rentabilidad del capital (r). La economía no es física; y para r no podemos dar una cantidad eternamente inmutable como para c; pero debería sorprendernos que durante siglos, de media, se ha mantenido entre un 4% y un 5%. Tanto si estamos en el Londres del siglo XVIII o en el París del XIX o en el Nueva York del XX observaremos como el rendimiento medio del capital oscila en esos porcentajes. No es (de media, insisto, para casos particulares puede haber valores muy diferentes) ni un 1% ni un 15%; casi siempre entre el 4% y el 5% (Th. Piketty, «Capital in the Twenty-First Century», The Belknap Press of Harvard University, 2014, 8% de la edición Kindle).
¿Por qué esa tasa constante de rendimiento del capital? Me parece que no hay una explicación para ello; pero me arriesgo a lanzar una hipótesis.
Para formular la hipótesis propongo retroceder hasta la época del Imperio Romano y detenernos en algo que parece bastante alejado de nuestra economía moderna: los mercados de esclavos. ¿Cuánto valía un esclavo en Roma? Según las fuentes disponibles, en el siglo I-II d.C, en Egipto, un esclavo ordinario podía valer entre 300 y 500 denarios; esto es, entre 90 y 150 gramos de oro. A este coste habría que añadir la alimentación, alojamiento y, seguramente, muy poca cosa más. Todas estas cosas podían implicar unos 100 denarios al año (unos 30 gramos de oro).

Así pues, si se adquiría un esclavo de 15 años y rendía durante otros 15 años (la esperanza de vida de los esclavos en Roma para los trabajos exigentes no superaba en mucho los 30 años y, a partir de esa edad, probablemente su rendimiento sería menor), tenemos que el coste de un esclavo durante un periodo de 15 sería de entre 1800 y 2000 denarios (entre 540 y 600 gramos de oro).
¿Qué rendimiento obtenía el amo por ese esclavo? Los ingresos diarios de un trabajador libre no cualificado eran de aproximadamente 1 denario. Un esclavo que trabajara 270 días al año daría un rendimiento en 15 años de 4050 denarios. Los 270 días implican un trabajo casi constante, con pocos descansos (unos 60 días al año). O, lo que es lo mismo, una inversión de 1800-2000 denarios produce un beneficio de entre 2000 y 2200 denarios en 15 años. Esto es, entre 130 y 145 denarios anuales; lo que implica un rendimiento que se sitúa entre el 6,5% y el 8% anual.
No es el 4%-5% de la Edad Moderna, sino algo superior; pero que coincide con lo que parece ser que eran los rendimientos del capital en el Imperio Romano (el interés para los préstamos se situaba entre el 6% y el 8%, siendo el 12% anual el máximo legal permitido). Curiosamente, ese 6,5%-8% se correlaciona con el resultado de dividir la inversión por los años de vida útil del esclavo. Si asumimos que r ≈ 1/L, siendo L la vida útil del esclavo, si L es 15 años r se sitúa en un 6,7%; mientras que con una vida útil de 12,5 años, r sería de un 8%. La esperanza de vida al nacer en Roma se situaba entre los 20-25 años; pero quien ya había llegado a la adolescencia podía esperar vivir entre 15 y 20 años más; aunque el desgaste del trabajo haría que el rendimiento fuera menor a partir de los 30 años, como se ha adelantado. Esto es, un rango de vida útil de entre 12 y 15 años es plausible. De cualquier forma, aquí estamos hablando de medias; esto es, en el caso de un esclavo de 18 años (quizás la edad ideal, pues se puede esperar que trabaje durante toda su vida adulta), el precio sería mayor, por lo que r se ajustaría de manera natural a la relación que veíamos antes (r ≈ 1/L). Aquí no hace falta ir más allá porque tan solo se trata de apuntar que no es descabellado pensar que el rendimiento del capital que suponía un esclavo (precio de adquisición más costes de mantenimiento) podría establecerse como una relación entre ese capital y la vida útil del esclavo como trabajador. Pareciera que la estructura económica incorpora un horizonte temporal que viene determinado por la duración de la vida laboral. De ese horizonte se derivaría r. Dicho de otra forma: la economía descuenta la vida humana.
Si ahora volvemos al famoso 4%-5% con el que comenzábamos; vemos que si lo expresamos también en relación con la vida productiva, ya no del esclavo, sino del trabajador, algo de coherencia podría aparecer. Un 4% se correspondería a 25 años de vida laboral; 5% a 20 años. Si pensamos en los siglos XVIII o XIX no parecen cifras carentes de sentido. A partir de los 40-45 años, en muchos trabajos manuales el trabajador pierde eficacia, sin contar con enfermedades, lesiones o muertes prematuras; esto es, durante esos siglos, quizás no es desabellado pensar que esa rentabilidad mágicamente constante se relaciona con el tiempo de actividad productiva de las personas. De igual forma, el lento decrecimiento de las rentabilidades en las últimas décadas podría también relacionarse con la extensión de la vida laboral plenamente productiva; una vida laboral que ahora comienza más tarde, más cerca de los 25 años que de los 20, y que se extiende a más allá de los 50. Aquí no se trata de ser exactos, sino tan solo de subrayar que la vida útil del trabajador determina el orden de magnitud de la rentabilidad.


Así pues, como hipótesis provisional (perdón por la redundancia), podemos avanzar que la rentabilidad del capital se determina por la extensión útil media de la vida laboral. Eso explicaría unas mayores rentabilidades en la edad Antigua (vida laboral más corta) y la lenta disminución de los rendimientos del capital en el último siglo, vinculado a una cierta extensión de la vida laboral; una vida laboral que, como se ha adelantado, comienza más tarde para la mayoría que hace un siglo (extensión de los estudios superiores), pero que también se prolonga más allá de los 50 años que, en época de trabajo fundamentalmente manual marcaban el fin de la vida plenamente útil del trabajador.
Existe, además, otra constante llamativa en lo que vamos viendo. Si volvemos al esclavo romano que cuesta entre 300 y 500 denarios, trabaja 15 años y obtiene para su amo el equivalente a 270 denarios, resulta que de esos 270 denarios el beneficio para el dueño es de algo más de la mitad. Recordemos que el mantenimiento del esclavo podía suponer unos 100 denarios al año, a lo que habíaque sumar la amortización del precio de compra. Con 300 denarios, esa amortización es de 20 denarios al año; con 500, de algo más de 30. Si nos colocamos en el rango intermedio, el beneficio que obtiene el amo del esclavo es de 145 denarios, un 53%.
Sorprende que esta parte de la renta que -podríamos decir- va al capital, es del mismo orden que la que encontramos en la actualidad. La participación del capital en la renta se sitúa en la actualidad, de acuerdo con las contabilidades habituales, en torno al 45% del PIB, apreciándose un aumento desde los años 60 del siglo XX, en el que esa participación era de menos de un 40%. Ciertamente, una variación de más de un 13% (del 53% que veíamos en el mundo romano a partir de nuestro modesto «experimento», al 40% en los años 60 del siglo XX) es más que significativa; pero estamos hablando de veinte siglos y en ningún sitio está escrito que esa participación tuviera que ser del orden del 50% y no del 10% o del 90%; de igual forma que habría que ver por qué el rendimiento del capital se mueve en torno al 5% tanto hace dos mil años como ahora.
Es verdad que hay enormes diferencias entre el trabajo de los esclavos y el trabajo asalariado; pero no puede desconocerse que existen elementos estructurales que los ponen en relación. En la esclavitud el sometimiento al amo es total; mientras que el trabajo asalariado, ese sometimiento es solamente parcial y temporal, pero también se asemejan en que se asume ponerse bajo la dirección del empresario durante el tiempo de trabajo; aunque aquí a cambio de un salario que no existe en el caso de la esclavitud. Obvio es decirlo, aquí no se está equiparando esclavitud y trabajo desde una perspectiva moral, sino que se intenta ser fiel a la realidad económica que subyace en ambos fenómenos.
Ahora bien, como vemos, la adquisición de un esclavo tiene un coste de mantenimiento (alimentación, cobijo, vestido) al que hay que sumar el precio que se pagó por el esclavo (aparte de los casos en los que se trate de hijos de esclavas que ya nacen también esclavos). Si se suma el coste de mantenimiento del esclavo y la amortización de su precio de adquisición durante su vida útil, la cantidad resultante se coloca en el mismo orden que el salario actual, con la diferencia de que en la esclavitud el precio de compra va a un tercero mientras que, en el trabajo asalariado, revierte en el trabajador. De alguna forma, ese «precio de compra» se incorpora al salario.
No hay, por tanto, una diferencia esencial entre el modelo romano y el actual. Tanto la distribución entre capital y trabajo como la rentabilidad del capital se mueven en unos parámetros similares si tenemos en cuenta que ahora en el trabajo tenemos que incorporar lo que sería el coste de adquisición del esclavo en el mundo romano.
Resulta tentador proyectar este ejemplo del mundo romano sobre el actual. La base para ello es la idea de que r ≈ 1/L. La vida útil media del trabajador determina el rendimiento que se obtiene por el capital. De alguna forma, el rendimiento muestra cómo el reloj de la vida laboral (y también de la física) se va vaciando de arena; es por eso que a medida que la vida laboral se alarga, r disminuye aunque sea ligeramente. Al final la cantidad de beneficio ha de distribuirse en más tiempo y, por tanto, el rendimiento anual disminuye.
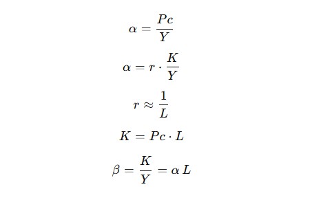
El coste del esclavo (precio de compra más mantenimiento durante toda su vida útil; esto es, C+ML, donde C es el precio de compra, M el coste anual de mantenimiento y L la duración de su vida laboral) es el capital que permite la generación del beneficio. En la actualidad, el equivalente sería el capital (K) necesario para el funcionamiento de la economía. Aquí tenemos que tener en cuenta que si r ≈ 1/L y Pc es la parte de la renta que va al capital; entonces la cantidad de capital necesaria para sostener esa relación no puede medirse por la suma de activos; sino por la escala temporal que marca L. El capital no se mide, se deduce. De acuerdo con esto, el cálculo de K se derivaría de considerar la participación del capital en el PIB (PIB menos costes salariales, a lo que denominaremos Pc), divido por r (1/L); esto es, Pc*L. Es decir, el capital necesario para generar el rendimiento observado es la renta del capital multiplicado por los años de vida laboral. El resultado es mucho mayor que lo que resulta de sumar los activos de un país en la vía que empleó Piketty en sus estudios sobre el capital, pero porque aquí el capital incluye el coste de crianza, educación y formación de los trabajadores; así como el resto de condiciones que hacen posible el funcionamiento de la economía. Con una participación del capital del 40% del PIB, el K resultante sería, para una r de 4,5%, 12,5 veces el PIB. Piénsese que en el ejemplo del esclavo romano, la K resultante sería de 7,5 veces la renta anual (2025 denarios para una renta anual de 270 denarios). Esto es el capital en Roma representaba una proporción menor que ahora respecto a la renta; pero en magnitudes superiores a las que se consideran mediante el método de intentar contar los activos existentes en una determinada economía.
Soy consciente de que esta no es la forma habitual de calcular el capital para una economía determinada; pero es de esta forma como puede tenerse en cuenta todo aquello que es necesario para la producción. El ejemplo del esclavo romano, en su sencillez, encierra todos los elementos precisos. Aquí la fuerza de trabajo está «capitalizada» de una manera evidente a través del derecho de propiedad. El hecho de que, en la actualidad, las relaciones del trabajador con el empresario se alejen esencialmente (en lo legal, moral y político) de lo propio en una sociedad esclavista no puede hacernos perder de vista que desde una perspectiva estructural, las relaciones entre capital y trabajo se articulan de una forma esencialmente idéntica, tal y como adelantamos. Lo que sucede es que una parte del coste necesario para el «mantenimiento» del trabajador se externaliza, pues lo asume o el conjunto de la sociedad (servicios públicos esenciales) o la familia que lo ha criado y educado. El dejar fuera de la contabilización del capital estos aspectos explica la diferencia entre lo que resulta de esta aproximación (K=Pc*L) de la que parte de intentar cuantificar los activos existentes en un momento dado. Ambas aproximaciones no miden lo mismo: una mide la capacidad estructural para sostener el trabajo, la otra, la propiedad de los activos.
En fin, se trata solo de una hipótesis. Un intento de vincular ese misterio (la constancia en la rentabilidad del capital) con una realidad tangible: la duración de la vida humana o, más específicamente, el tiempo de nuestra vida laboral. El rendimiento del capital no es más que la sombra que proyecta nuestra vida sobre la economía.